您当前的位置:首页 > 学科资讯 > 详情
牛晓辉教授团队牵头的国际多中心Ⅲ期研究成果登顶《柳叶刀》
浏览量:6     发布者:肿瘤界     时间:2026-03-09

2026年3月5日,首都医科大学附属北京积水潭医院骨肿瘤科牛晓辉教授团队在国际医学顶级期刊The Lancet上发表了题为“Pimicotinib versus placebo for tenosynovial giant cell tumour (MANEUVER): an international, randomised, placebo-controlled, phase 3 trial”的研究论文。该研究结果显示,对于不可切除的腱鞘巨细胞瘤(TGCT)患者,使用高选择性CSF-1R抑制剂匹米替尼治疗可显著缩小肿瘤、改善症状,且安全性可控。该研究是首个全球多中心、随机、双盲、安慰剂对照Ⅲ期临床研究,由附属北京积水潭医院牵头,在亚洲、欧洲和北美40家医院开展,首次均衡纳入中国与非中国患者,为TGCT的系统治疗提供了高质量的国际循证医学证据。首都医科大学附属北京积水潭医院徐海荣教授为第一作者,牛晓辉教授为通讯作者。

3-1.png

TGCT是一种罕见的、局部侵袭性强的肿瘤,多发于原本健康的成年人,并可能导致严重的并发症。TGCT症状负担重,从轻微到极度致残的症状均有发生。手术一直是控制TGCT的主要治疗方法,然而术后并发症、恢复延迟和疾病复发的风险较高。对于无法切除的TGCT患者,全身治疗可能是唯一合适的治疗方式。在全球范围内,这类患者的治疗选择有限,凸显了对更有效、耐受性更好的全身治疗方案的巨大需求。


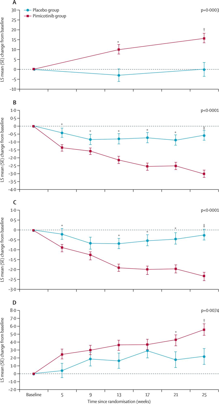
MANEUVER研究是一项由附属北京积水潭医院牵头的国际多中心、随机、双盲、安慰剂对照的Ⅲ期临床试验,在全球40家中心共纳入94例不可切除的TGCT患者,按2:1随机分配接受每日一次口服匹米替尼(50 mg)或安慰剂治疗24周,旨在评估匹米替尼治疗TGCT患者的疗效和安全性。研究达到了主要终点:第25周时,匹米替尼组由盲态独立中心根据RECIST v1.1评估的客观缓解率(ORR)为54%(34/63),而安慰剂组仅为3%(1/31)(绝对差异51%,95%CI 33–63,P<0.0001)。所有关键次要终点均显著改善,包括基于肿瘤体积评分的ORR(62% vs 3%)、关节活动度、僵硬程度、疼痛评分及身体功能等,且改善在治疗早期即出现并持续。安全性方面,匹米替尼主要引起轻度实验室指标异常(如肌酸激酶升高)及瘙痒、面部水肿等临床事件,大多可控,未发生胆汁淤积性肝毒性或药物性肝损伤,因不良事件停药率仅1.6%。

3-2.png

MANEUVER研究的ITT人群临床结局评估的基线变化



作为国际多中心Ⅲ期临床研究,MANEUVER研究结果具有地域多样性,为匹米替尼在全球范围内的监管审批和临床应用奠定了决定性的基础,标志着TGCT的药物治疗迈入了一个高效、安全的新阶段,有望直接改写该疾病的临床诊疗指南。


3-3.png

牛晓辉主任医师、教授、博士生导师。担任中国临床肿瘤学会(CSCO)理事、CSCO黑色素瘤专家委员会主任委员、中国抗癌协会(CACA)常务理事等。长期致力于骨与软组织肿瘤的临床与基础研究,以通讯作者在The Lancet、Nature Communications等国际期刊发表多篇论文,主持多项国家级科研项目。





来源:首都医科大学