2026年4月10日,中山大学肿瘤防治中心习勉教授团队完成的EC-CRT-002研究,在国际肿瘤学顶刊《临床肿瘤学杂志》(Journal of Clinical Oncology)在线发表。这项多中心、双臂、Ⅱ期随机临床试验,聚焦于食管鳞癌免疫治疗联合放化疗的最佳时机与疗程,为优化局部晚期食管鳞癌的综合治疗策略提供了关键循证依据。

同期放化疗是目前局部晚期不可切除食管鳞癌的标准治疗模式,但疗效并不理想,3年生存率仅约40~50%,亟待更有效的治疗方案。尽管PD-1/PD-L1抗体在晚期食管癌的疗效确切,但其在局部晚期食管癌患者中的最佳应用模式尚无定论。在团队既往研究的基础上,研究者创新性提出“免疫前置”策略:在放疗前先行诱导免疫联合化疗,更早激活机体抗肿瘤免疫应答,为后续放化疗同期联合免疫治疗奠定协同增效的基础。
EC-CRT-002研究于2022年10月至2024年10月在国内4家中心共纳入114例II-IVB期不可切除食管鳞癌患者,按1:1随机分为两组。两组患者均接受2周期紫杉醇+顺铂诱导化疗,随后进行同期放化疗(放疗剂量50.4 Gy/28次),但免疫治疗的疗程不同:
A组:接受16个疗程替雷利珠单抗(2程诱导+2程同期+12程维持治疗)
B组:接受4个疗程替雷利珠单抗(2程诱导+2程同期,无维持治疗)
该研究以既往前瞻性随机对照试验中“单纯同期放化疗”患者为历史对照,主要研究终点为1年无进展生存率(PFS)。
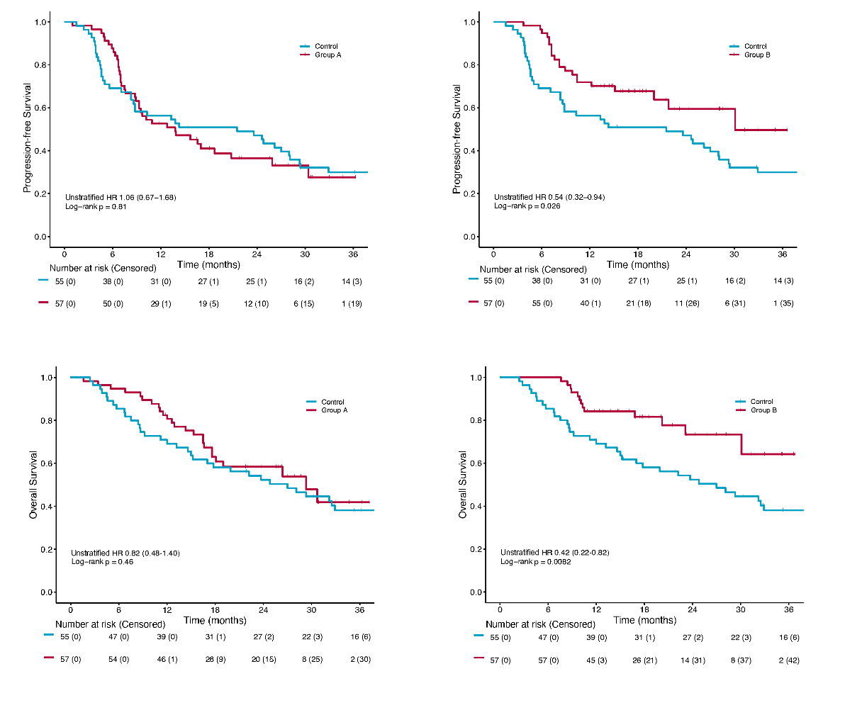
近期疗效方面,B组放疗后3个月的临床完全缓解率达到70.2%,显著高于对照组的40%(P=0.0003);A组为50.9%,与对照组无显著差异(P=0.248)。中位随访时间22.7个月后,A组1年无进展生存率为52.6%,与对照组无显著差异(HR=1.06,P=0.81);B组1年无进展生存率为71.9%,显著优于对照组的56%(HR=0.54,P=0.026)。同样,在总生存方面,B组1年总生存率为84.2%,显著优于对照组的69.1%(HR=0.42,P=0.0082);A组的总生存率较对照组未见显著获益。安全性方面,两组最常见的3级及以上不良事件均为淋巴细胞减少(A组77.2%、B组73.7%),未发生治疗相关死亡,两种方案均显示了良好的安全性。

图1:无进展生存(PFS)和总生存(OS)统计结果
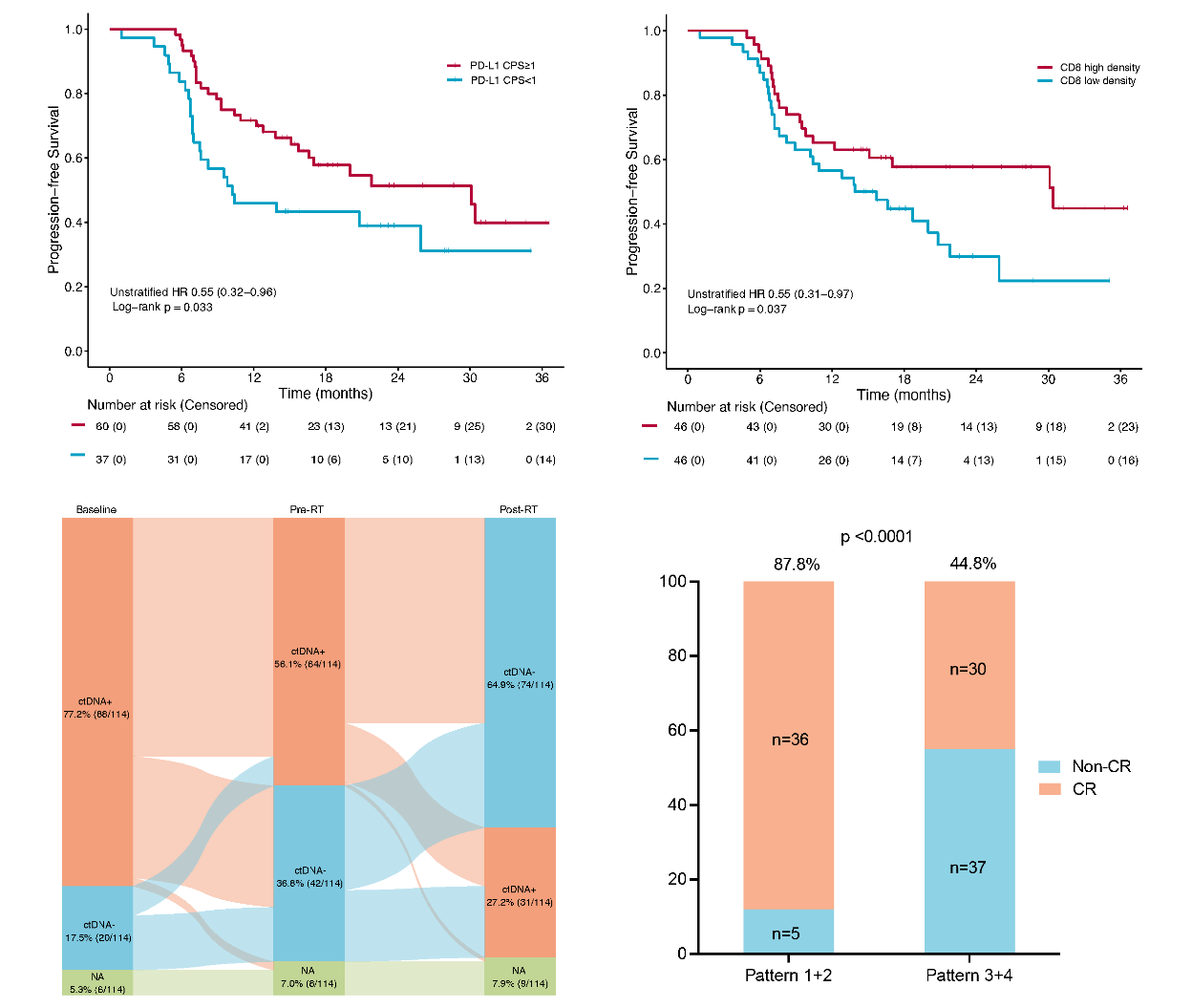
生物标志物探索性分析显示,PD-L1 CPS≥1、CD8⁺T细胞高浸润与更优的无进展生存率相关。基因突变分析显示,NFE2L2基因及NRF2通路突变与较差的预后相关。此外,ctDNA动态监测显示,ctDNA持续阴性或早期清零的患者具有更高的完全缓解率和更长的生存期。这些发现为临床筛选潜在获益人群、实现个体化精准治疗提供了重要参考。

图2:PD-L1、CD8、ctDNA等生物标志物分析
该研究证实,“免疫联合诱导化疗+同步放化疗”相比同期放化疗具有明确的生存优势。仅需联合4个周期的免疫治疗即可为患者带来显著获益,在疗效、毒性和经济负担之间取得了良好平衡,临床可行性高。未来可通过生物标志物筛选,进一步鉴别真正能从免疫维持治疗中获益的人群。该研究为局部晚期食管鳞癌的综合治疗提供了新思路,也为后续开展大样本III期确证性临床试验奠定了坚实基础。
中山大学肿瘤防治中心的习勉教授、杨弘教授、李巧巧主任医师为该论文的共同通讯作者。中山大学肿瘤防治中心的陈宝清副主任医师、刘施亮副主任医师、祝喻甲副主任医师,以及中山市人民医院张晶晶主任医师和中山大学附属第一医院包勇主任医师为共同第一作者。
主要研究者简介:

通讯作者:习勉
中山大学肿瘤防治中心放疗科主任医师、教授、博士生导师;广东省食管癌研究所副所长;中山大学肿瘤防治中心食管癌放疗首席专家;中国抗癌协会食管癌专委会委员;中国临床肿瘤学会放射治疗专委会委员兼秘书;广东省抗癌协会食管癌专委会常委;中国医药教育协会肿瘤放疗专委会常委。
主要研究方向:食管癌、肝癌的放射治疗,主持国家自然科学基金、广东省自然科学基金杰青项目等多项课题,作为第一/通讯作者在Lancet Oncol、J Clin Oncol、Lancet Respir Med、Cancer Discov、Drug Resist Updat、Nat Commun等期刊发表SCI论著50余篇,获广东省科技进步奖二等奖、中国抗癌协会科技奖一等奖等科技奖励。

共同通讯作者:杨弘
中山大学肿瘤防治中心胸科副主任、主任医师、博士生导师,广东省食管癌研究所副所长,华南恶性肿瘤防治全国重点实验室独立PI,国家级重大人才项目获得者。中国抗癌协会食管癌专业委员会副主委,中国抗癌协会食管肿瘤整合康复专业委员会副主任委员,广东省抗癌协会食管癌专委会副主委,广东省胸部肿瘤防治研究会靶向治疗专委会主委。以第一/通讯作者在Lancet、J Clin Oncol、Lancet Respir Med、Annals of Oncology、JAMA Surgery、Nat Commun等高水平期刊发表文章40余篇;主持国家级重大项目、国家自然科学基金项目、广东省科技计划项目等。

共同通讯作者:李巧巧
中山大学肿瘤防治中心放疗科主任医师、硕士生导师。中华医学会放疗分会食管癌学组委员,中华医学会放疗分会骨软组织肉瘤学组委员,中国抗癌协会骨软组织肉瘤化放专业组委员,广东省抗癌协会放疗专业青年委员会常委,广东省抗癌协会食管癌专业委员会委员,广东省省临床医学会肿瘤免疫治疗专业委员会常委。主攻胸部肿瘤、骨转移瘤及软组织肉瘤放射治疗,2013-2014年美国MD Anderson癌症中心进修,专攻立体定向放射治疗。

第一作者:陈宝清
中山大学肿瘤防治中心放疗科副主任医师、硕士生导师,MD Anderson癌症中心联合培养博士生。主持国自然、广东省自然、广州市科技项目基金等,研究成果发表于J Clin Oncol、Gastroenterology,STTT,Lancet Oncology等杂志。
来源:中山大学肿瘤防治中心